
随着两位免疫学家荣获2018年诺贝尔生理学或医学奖以及国产PD-1单抗药的上市,肿瘤免疫疗法再次成为各界的关注焦点。有评论认为,免疫治疗将引领肿瘤治疗的第三次革命。作为一种突破性的疗法,肿瘤免疫治疗确有其优势,但也存在一定的局限性。尽管抗体药物能够改善免疫功能,帮助患者抵抗肿瘤,但就总体疗效来讲,成功率仍然偏低。因此,如何准确判断哪些患者可能受益于免疫疗法是一个亟待解决的问题。
今日,一项针对数千名晚期癌症患者的重磅研究显示,具有大量DNA突变的肿瘤比突变较少的肿瘤更有可能对免疫疗法产生反应。基于肿瘤突变负荷(TMB)的检测方法能够帮助识别对免疫治疗产生应答反应的患者群体,但将该方法转化为可靠的临床检测可能存在很大的挑战。因此,如何开发出一种能够有效评估肿瘤突变水平的复杂检测,或将成为未来的关键。相关研究于当地时间1月14日发表在《自然·遗传学》杂志,论文题为“Tumor mutational load predicts survival after immunotherapy across multiple cancer types”。
长期以来,研究人员一直在寻找方法筛选最有可能对免疫疗法产生反应的人群,并让其他患者免受治疗副作用的影响。但是人体的免疫系统是非常复杂的,事实证明我们很难确定是什么原因使得一个肿瘤更易被治疗,而另一个肿瘤则可以“毫发无损”地逃脱。“药物开发的本质是试图找到有意义但相对简单的指向,这往往与生物学的运作方式背道而驰。”来自波士顿Cowen投资银行的生物技术分析师Chris Shibutani表示。
一种假设是,肿瘤与正常组织的遗传差异越大,免疫系统识别和消除肿瘤的可能性就越大。“人们认为TMB对于预测所有癌症对免疫治疗的反应非常重要,但到目前为止,我们所拥有的只是来自小型研究和临床试验的数据,主要是肺癌和黑色素瘤。”论文通讯作者、纪念斯隆·凯特琳癌症中心(MSKCC)外科肿瘤学家Luc Morris表示,“TMB是否与免疫治疗受益的可能性相关?所有癌症都是如此吗?我们想知道TMB是否具有广泛的适用性。”

论文通讯作者Luc Morris,来源:MSKCC
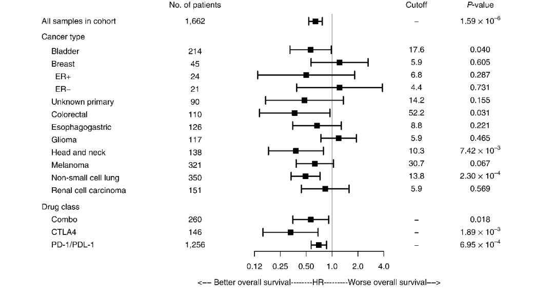
在这项最新研究中,来自MSKCC研究团队对1600多名接受免疫检查点抑制剂(ICI)治疗,以及5300多名未接受检查点抑制剂治疗的晚期癌症患者DNA数据进行了分析。该团队共研究了10种不同类型的已知癌症,包括黑色素瘤和乳腺癌等。研究发现,在所有患者中,较高的体细胞TMB与更好的总体存活率相关;在大多数癌症中,TMB越高的患者,对免疫检查点抑制的应答反应就越好。这一发现与近年来报道的其他初步研究结果相吻合。但本项研究并非独特的概念研究,先前对少数几种特定类型癌症(例如肺癌和黑色素瘤)的研究表明,TMB可能是免疫治疗反应的预测指标。这项研究是迄今为止规模最大、最全面的研究,为TMB检测适用于更多类型的癌症提供了最具说服力的证据。Luc Morris强调,这项研究首次发现,在如此广泛的癌症以及接受过各种治疗的人群中,存活率都有所提高。

非同义突变负荷对ICI治疗后总体存活率的影响,来源:Nature Genetics
除此之外,数据还显示,预测免疫治疗效果的TMB因癌症类型而异。而在神经胶质瘤患者中,那些较高TMB水平患者的治疗效果反而不如TMB较低的患者。也就是说,对于高TMB,不同癌症可能没有一个通用的定义。这意味着如果研究人员想在临床试验中使用这种方法,则需要为每种癌症类型设定一个突变阈值。不难预想,这很可能会使已经十分复杂的癌症基因检测变得更为复杂。评估肿瘤基因组的突变需要对整个基因组或其中部分基因组进行测序。但不同测序方法和用于解释结果数据的算法可能会产生相互矛盾的结果。而且,目前还不清楚是否所有的突变都应该得到同等的重视,或哪些突变比其他突变更容易引起免疫反应。此外,一些TMB较高的患者根本没有对免疫治疗做出反应,因此仍有工作要弄清楚为什么高TMB不是对免疫治疗反应的普遍预测因子。
Chris Shibutani表示,尽管存在这些问题,但一些制药公司已开始在其免疫疗法的临床试验中纳入评估肿瘤突变数量的检测。然而,结果喜忧参半。例如,百时美施贵宝公司对这种方法进行了测试并发现,在利对TMB水平划分患者进行治疗后,并没有发现生存优势。但Chris Shibutani强调,这可能是由许多因素造成的,例如公司进行判定时的临界值。
研究人员也指出,患者生存结果可能还受到从对照组转向试验组的受试者的影响。此外,免疫检查点抑制剂也更有可能阻止基因突变数量较多患者的肿瘤生长,即使其存活率没有表现出显著差异。不过Luc Morris也强调:“仅仅TMB本身并不能给你很高的信心来预测病人是否会对免疫疗法产生反应。它是预测免疫反应的一个生物标志物,但其他一些因素也很重要。我不建议把这篇论文中的数据应用到临床病人身上。”
Chris Shibutani预测,最终临床可能会应用一系列特征以选择免疫治疗的受益群体,包括突变计数以及相关蛋白(例如肿瘤新生抗原)等信息。而这也意味着,我们还有很多长的要走。
参考资料:
1. Tumor mutational load predicts survival after immunotherapy across multiple cancer types
2. Highly mutated cancers respond better to immune therapy
3. Researchers Uncover Major Clue In Predicting Response To Immunotherapy
本文由 SEQ.CN 作者:白云 发表,转载请注明来源!